Preskočiť na obsah

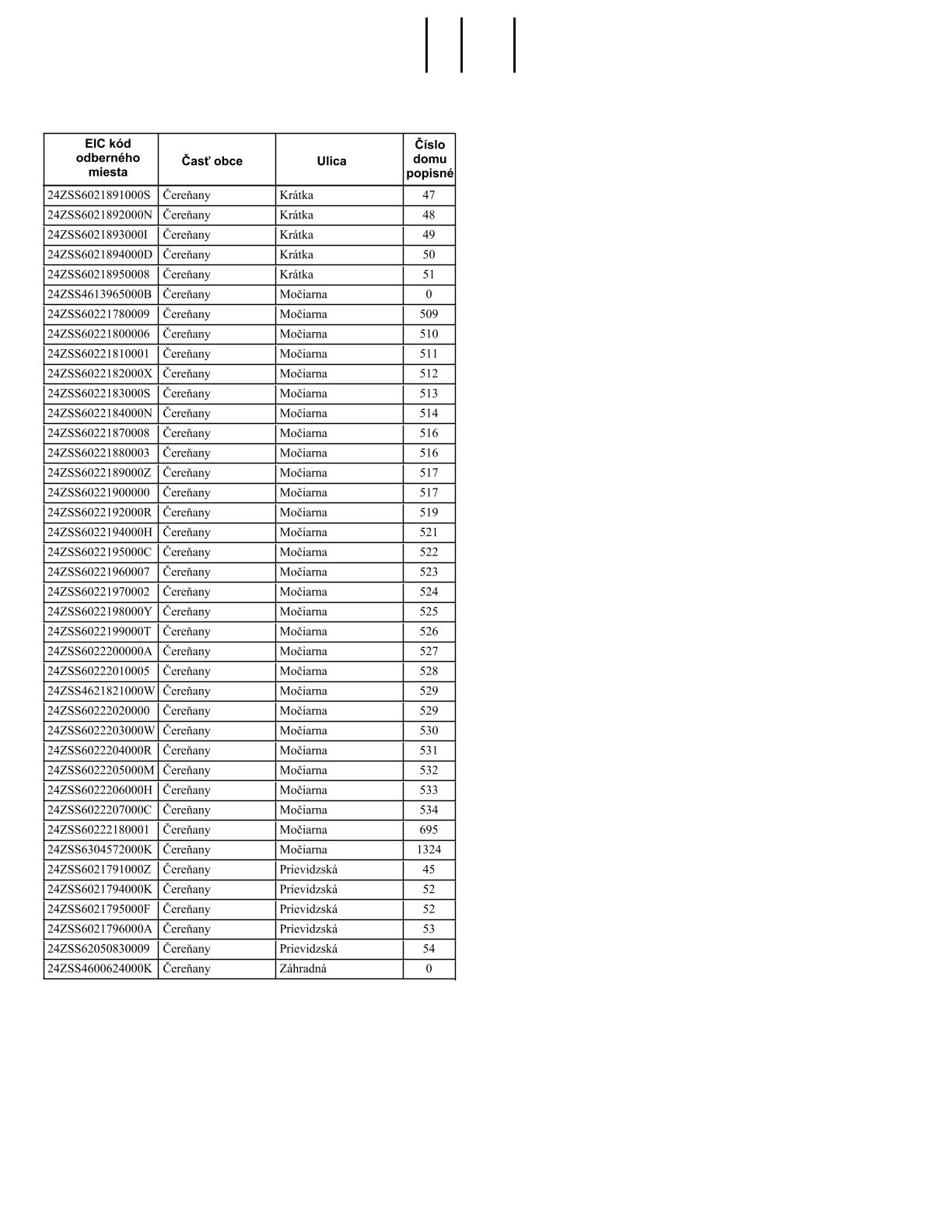
Prerušenie distribúcie elektriny 14.04.2026 od 07:30 – 12:30

Zverejnené 16.3.2026.

Dátum a Čas
14. apr 2026 07:30 – 12:30
Miesto
Čereňany